设为首页
|
加入收藏
首页
中心概况
学校
MPA
MEM
招生信息
MPA
MEM
MPA教学管理
课程简介
日常教学
案例大赛
实践学分
MEM教学管理
课程简介
日常教学
案例大赛
实践学分
学位管理
导师双选
中期考核
学位论文
学位授予
学生事务
学生通知
学生活动
校友工作
师资与研究
MPA论文导师
MEM论文导师
社会导师
下载中心
文件下载
表格下载
中心新闻
中心新闻
当前位置:
首页
->
中心新闻
->
正文
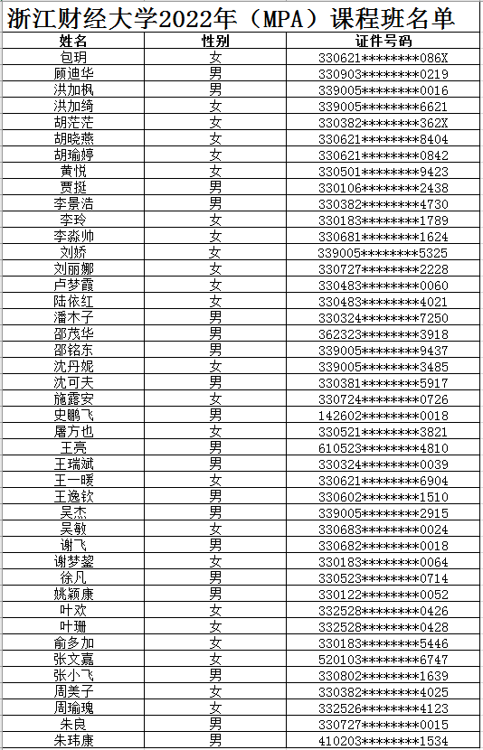
ued体育 2022年(MPA)课程班名单
发布日期:2022-05-21
点击:
根据报名、审核,现将ued体育 2022年(MPA)课程班名单公示如下:
请在名单中的学生尽快加入钉钉群:
(群号:44540773)